Theo quan điểm của các nhà vật lý, luộc trứng là một quá trình khá phức tạp và chịu ảnh hưởng của nhiều yếu tố như nhiệt độ của nước trong quá trình luộc, tốc độ sôi, nhiệt độ ban đầu của trứng hay thậm chí cả độ cao của bếp trên mực nước biển..
Bạn yêu thích món trứng lòng đào nhưng chưa biết cách căn giờ? Các nhà vật lý đã đưa ra công thức tính thời gian để luộc của một quả trứng chín hoàn hảo - và thậm chí họ còn tạo ra một công cụ tính toán trực tuyến rất tiện dụng nữa!
Làm thế nào để luộc một quả trứng đúng cách?
Đặt quả trứng trong nước sôi và đun trong vài phút. Một số người thì cho trứng vào nước lạnh rồi mới đun. Tuy nhiên, theo các nhà khoa học, cách này làm cho việc tính toán trở nên phức tạp thêm, vì vậy, chúng tôi khuyên bạn nên cho trứng vào nước sôi.
Có một số mẹo nhỏ: ví dụ, để trứng dễ bóc hơn, bạn có thể cho giấm vào nước sôi hoặc đập dập vỏ quả trứng đã luộc rồi ngâm một lúc trong nước lạnh để nước thấm vào giữa lòng trắng và lớp vỏ để dễ bóc hơn.
Nhưng cái chính chúng ta cần quan tâm là thời gian luộc. Lòng trắng và lòng đỏ phản ứng khác nhau khi bị đun nóng: lòng trắng bị "đông lại" nhanh hơn một chút. Nếu ngâm trứng quá lâu trong nước nóng sẽ khiến cho lưu huỳnh trong lòng trắng bị giải phóng và phản ứng với các muối chứa sắt trong lòng đỏ, từ đó khiến cho lòng đỏ có màu xanh và làm trứng bị mất ngon.

Độ chín của trứng theo thời gian
Theo quan điểm của các nhà vật lý, luộc trứng là một quá trình khá phức tạp. Trạng thái đông đặc của lòng đỏ và lòng trắng khi kết thúc quá trình sôi chịu ảnh hưởng của nhiều yếu tố như nhiệt độ của nước trong quá trình ngâm và tốc độ sôi, nhiệt độ ban đầu của trứng (tùy thuộc vào việc bạn bảo quản trứng trong tủ lạnh hay ở nhiệt độ phòng) hay thậm chí cả độ cao của bếp trên mực nước biển bởi điều này ảnh hưởng đến nhiệt độ sôi của nước. Nếu luộc trứng trên núi thì nhiệt độ sôi sẽ thấp hơn và bạn sẽ mất nhiều thời gian hơn để làm chín trứng.

Có hẳn một công trình nghiên cứu về luộc trứng một cách khoa học
Hầu hết các yếu tố này có thể được tính toán thủ công nhờ sử dụng một phương trình do nhà vật lý Charles Williams của Đại học Exeter biên soạn.
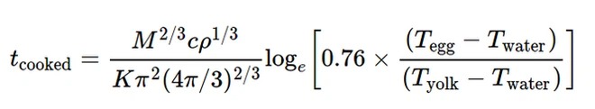
Để có được một công thức đơn giản thì ta cần lý tưởng hóa một chút: trứng sẽ được coi như một đối tượng đồng nhất hình cầu khối lượng M và có nhiệt độ ban đầu T trứng . Nếu trứng được đặt thẳng vào một nồi nước sôi ở T nước , nó sẽ chín khi nhiệt độ ở bề mặt ngoài của lòng đỏ tăng lên đến T lòng đỏ ~ 63 ° C. Với những giả thiết này, ta có thể tính được thời gian nấu t bằng cách giải một phương trình khuếch tán nhiệt như dưới đây:

Trong đó, t cooked là thời gian luộc, ρ là khối lượng riêng, c là nhiệt dung riêng, K là hệ số dẫn nhiệt của trứng.
Theo công thức này, để luộc chín một quả trứng cỡ vừa (M ~ 57 g) lấy thẳng từ tủ lạnh ( Ttrứng = 4 ° C) mất bốn phút rưỡi, nhưng sẽ chỉ mất ba phút rưỡi để luộc chín cùng một quả trứng đó nếu nó được bảo quản ở nhiệt độ phòng ( Ttrứng = 21 ° C).
Nếu tất cả trứng được bảo quản trong tủ lạnh, thì một quả trứng nhỏ (M ~ 47 g) sẽ cần bốn phút để nấu và một quả trứng lớn (M ~ 67 g) sẽ mất năm phút.

Đồ thị thể hiện mối quan hệ giữa khối lượng trứng và thời gian luộc
Nếu bạn vẫn còn nhớ cách tính các hàm logarit (đã từng được học ở trường) thì bạn có thể sử dụng ứng dụng tính toán trực tuyến để đảm bảo những quả trứng sẽ được luộc chín tới (lòng đào) hoặc chín kỹ.
Để tính toán, bạn sẽ cần một chiếc cân nhà bếp để cân khối lượng của quả trứng hoặc chọn theo cỡ trứng trong danh sách. Trang web này cũng cho phép bạn xác định khá chính xác độ cao so với mực nước biển. Nếu bạn ở chung cư hoặc nhà cao tầng thì đừng quên không quên thêm số tầng và nhân với 3 m vào nhé.
Theo như kết quả được máy tính đưa ra, với điều kiện ở nhà chung cư tầng 10 (độ cao 30 m) để luộc lòng đào một quả trứng trung bình (M ~ 57 g) lấy ra từ tủ lạnh sẽ cần 6 phút 44 giây (luộc chín kỹ - 9 phút 58 giây).
Nếu ở nhà mặt đất (nhà liền thổ) thì thời gian luộc chín lòng đào không thay đổi, trong khi thời gian cần để luộc chín kỹ rút ngắn đi được 2 giây – chỉ còn 9 phút 56 giây.
Còn chần chừ gì nữa, các bạn hãy thử xem trên thực tế có đúng như vậy không nào!!!