Những bậc cha mẹ là những vĩ nhân thì con của họ chưa chắc đã giỏi được như vậy. Con trai của Maradona chỉ chơi bóng tại các giải hạng thấp ở Italy, trong khi con trai của Vua bóng đá Pele là một thủ môn ít tên tuổi.
Một nghiên cứu gần đây của các nhà khoa học Anh chứng minh rằng, chỉ 20% chỉ số thông minh IQ của trẻ là thừa hưởng do gene, thấp hơn nhiều so với các kết quả trước đây là 40-50%. Đây là một sự thật mà cha mẹ nên chấp nhận, đặc biệt là những bậc phụ huynh tài giỏi mà chỉ sinh ra những đứa con bình thường.
Một người hâm mộ đội tuyển Hà Lan từng viết trên một diễn đàn: "Tôi là một người hâm mộ đặc biệt của đội tuyển Hà Lan, vì thế khi lần đầu tiên nhìn thấy Jordi Cruyff đá ở cup châu Âu năm 1996, tôi đã rất phấn khích: 'Đây là con trai của John Cruyff! Nó phải là một thiên tài! Một nửa số gene của John Cruyff đang chảy trong người anh ta có thể cứu được đội Hà Lan'. Nhưng sự thật đã khiến tôi thất vọng!
Trình độ của Jordi Cruyff chỉ ở mức trung bình và đội Hà Lan năm đó thi đấu rất tệ, nhanh chóng trở về nhà khi thất bại ở vòng bảng. Hai năm sau tại World Cup 1998 ở Pháp, Jordi thậm chí còn không có mặt trong đội tuyển quốc gia".
Tất nhiên, chẳng ai trách được Jordi Cruyff bởi trình độ chỉ có thế. Thế nhưng chàng trai này thậm chí còn khá hơn con trai của những siêu sao bóng đá khác.
Con trai của vua bóng đá Pele, Edinho là một thủ môn. Thành tích cao nhất mà anh đạt được là giành ngôi á quân giải vô địch bóng đá Brazil năm 1995 với câu lạc bộ Santos.

Sinagra (trái) - con trai của Maradona - chỉ chơi bóng tại các giải hạng thấp tại Italy.
Con trai của Maradona, Sinagra chỉ chơi bóng tại các giải hạng thấp tại Italy. Hiện cầu thủ 33 tuổi này chuyển sang chơi bóng đá bãi biển.
Stephan, con trai của Beckenbauer, Stephan, chỉ chơi một vài giải đấu của Đức và phần lớn sự nghiệp của anh được dành cho các giải đấu cấp thấp.
Hiện tượng "hồi quy về ngưỡng trung bình"
Trước hết phải công nhận rằng tài năng bóng đá của những thế hệ F1 kể trên cao hơn so với người bình thường. Thế nhưng trình độ của họ kém xa so với thế hệ cha anh. Chơi bóng đá hay học tập cũng tương tự như nhau.
Nhà khoa học Francis Galton (1822 - 1911) đã nghiên cứu về hiện tượng trên với khái niệm "Hồi quy về sự trung bình". Lúc đó, Galton đang nghiên cứu về ảnh hưởng của di truyền đến trí thông minh, và ông dùng chiều cao là một ví dụ. Galton quan sát rằng những cặp cha mẹ có chiều cao thấp hơn trung bình thường sinh con có chiều cao cao hơn cha mẹ. Ngược lại, những cặp vợ chồng có chiều cao vượt trội thường sinh con có chiều cao thấp hơn họ. Đây được gọi là hiện tượng hồi quy về số trung bình.
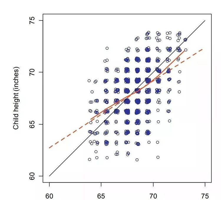
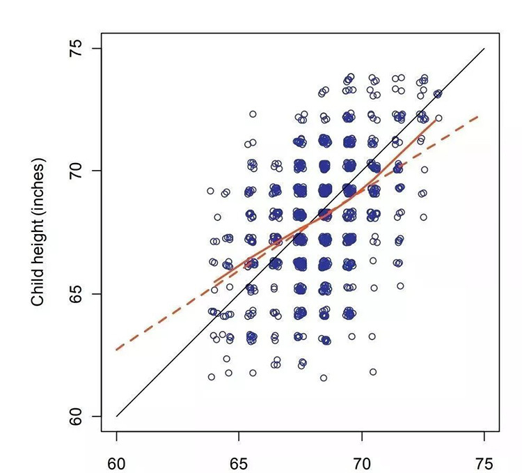
Trong nghiên cứu của mình, Galton đã tiến hành đo chiều cao của 205 cặp vợ chồng và 928 con của họ đã trưởng thành. Kết quả được minh họa bằng hình ảnh bên dưới, trong đó 2 trục tung và hoành thể hiện chiều cao trung bình của bố và mẹ. 3 đường nằm giữa hình thể hiện chiều cao của con (để thuận tiện cho tính toán, chiều cao của nữ giới được nhân với 1,08) và các chấm tối hơn ở giữa biểu thị số liệu tăng.

Bảng đánh giá chiều cao của bố mẹ và con cái của Galton. Ảnh: Study163.com
Theo sơ đồ này:
- Hai đường màu vàng ở giữa hình thể hiện 2 cách tính toán khác nhau về chiều cao của con, nhưng đều cho kết quả trung bình: Cha mẹ cao thì con cũng cao, cha mẹ thấp thì con cũng thấp.
- Giả sử chiều cao của bố mẹ và con cái là một đường thẳng liền mạch, giống đường thẳng màu đen trong hình, nằm chính giữa đồ thị, thì cho ra kết quả bố mẹ cao (hoặc thấp) bao nhiêu, con sẽ cao (hoặc thấp) bấy nhiêu. Nhưng thực tế hai đường màu cam dao động quanh đường đen này, nghĩa là trẻ sẽ cao hoặc thấp hơn so với đường đen lý thuyết.
Galton đã tính hệ số này thậm chí chỉ bằng 2/3.
Ví dụ: Chiều cao trung bình của đàn ông trong nước là 1,70 mét và nữ giới là 1,58 mét.
Giả dụ bố mẹ bạn có chiều cao tương đối ổn, bố cao 1,86 mét, mẹ cao 1,7 mét. Theo tính toán của Galton, chiều cao bình quân của bạn sẽ là:
(1,86 + 1,70x1,08)/2= 1,85 mét, cao hơn 0,15 mét so với chiều cao bình quân của đàn ông trong nước.
Nhưng đến thế hệ con cái bạn thì có thể không cao như vậy. Chúng chỉ có thể cao 0,15 x 2/3 = 0,1, nghĩa là con trai bạn có chiều cao dự kiến khoảng 1,8 mét, còn con gái là 1,80/1,08 = 1,67 mét
Tất nhiên đây chỉ là giả thuyết bởi công thức này mới chỉ tính toán trên một nhóm người và nó có thể không áp dụng được cho đa số người khác.
Tuy nhiên giới khoa học đều đồng ý rằng, hiện tượng mà Galton nêu ra là chính xác. Cũng có nghĩa hiện tượng hồi quy về số trung bình là có và nó áp dụng lên toàn bộ thế giới sinh học. Tại sao như vậy?
1. Những đặc điểm phân bố liên tục được kiểm soát bởi nhiều gene
Một số đặc điểm nổi bật của cá nhân được kiểm soát bởi nhiều gene, chẳng hạn như tàn nhang. Nếu bạn bị tàn nhang cũng có nghĩa bạn bị ảnh hưởng bởi gen MC1R, còn nếu như mắt màu đậm là ảnh hưởng từ gene OCA2 và HERC2. Những đặc điểm này có tính di truyền rất cao. Về lý thuyết, nếu cha mẹ có tàn nhang, con phải có. Cha mẹ có mắt màu đen (hoặc nâu) thì màu mắt của con cũng tương tự.
Nhưng trong giới sinh học, những đặc điểm trên không liên tục. Bạn có thể có tàn nhang hoặc không và màu mắt thì không chỉ có màu đen hoặc nâu, còn rất nhiều màu khác. Hiện tượng này được giải thích là sự hạn chế của một số gene khi kết hợp lại với nhau.
Khi một đặc điểm của con người được di truyền liên tục từ đời này sang đời khác, nó luôn bị ảnh hưởng bởi nhiều gene. Vì vậy hầu hết các sự kết hợp sẽ cho ra những kết quả vừa phải, chỉ có một vài sự kết hợp cho ra những kết quả khác biệt và hầu hết trong số đó liên quan đến gene lặn. Tuy nhiên, sự khác biệt chỉ chiếm số ít, không phải đa số.

Nhiều người nghĩ bố mẹ giỏi thì con cũng sẽ giỏi, điều này chưa chắc đã đúng. Ảnh: Study163.com
2. Gene của con người cũng bị ảnh hưởng nhiều từ môi trường xung quanh
Ngay cả khi gene của vợ chồng bạn giống hệt nhau thì chưa chắc con sinh ra cũng nổi trội như bố mẹ, bởi chúng còn bị ảnh hưởng của môi trường xung quanh.
Một đứa trẻ có tư chất tốt, chỉ số thông minh cao cũng chỉ quyết định được 20% khả năng thành công. Sự phát triển trí tuệ, tri thức của mỗi người phụ thuộc vào rất nhiều yếu tố bổ sung cho nhau. Trong đó, yếu tố môi trường tiếp xúc, sự tương tác với xã hội góp phần đặc biệt quan trọng. Vì thế, việc đứa trẻ có bố và mẹ rất tài giỏi, thông minh, bản thân trẻ được thừa hưởng gene tốt đó nhưng khi đi học lại không phát huy được cũng là chuyện bình thường.
Trong lịch sử Trung Quốc, Hán Cao Tổ và Lữ Hậu là cặp vợ chồng đế vương nổi tiếng tàn ác. Giết công thần, giết người thân, làm lũng đoạn triều đình là những gì lịch sử còn nhắc lại về cặp vợ chồng này.
Thế nhưng con trai của họ - Lưu Doanh - lại là một vị hoàng đế có tâm tính ôn nhu, hòa mĩ, sử dụng phương pháp Đạo giáo để trị vì thiên hạ. 5 tuổi Lưu Doanh đã được phong làm thái tử, cả tuổi thơ sống với nhũ mẫu nên không bị ảnh hưởng nhiều bởi sự tàn ác từ bố mẹ.
Vì thế, không có phương pháp nào để đo gene của ai tốt hơn. Điều duy nhất có thể đo được là gene của bạn phù hợp với môi trường như thế nào.
3. Xác suất "cào bằng"
Đối với những cặp vợ chồng bình thường, sau khi gene của họ được kết hợp lại, xác suất thông minh của đứa trẻ được phân phối giữa những giá trị trung bình.
Tuy nhiên đối với một cặp vợ chồng thông minh, tổ hợp gene "thông minh" của bố mẹ khi kết hợp ở đứa trẻ có thể giảm. Nguyên nhân là khi gene của bố mẹ kết hợp lại, chúng đã "yếu" đi một chút. Kèm theo đó là môi trường sống cũng sẽ tác động xấu đến gene, dẫn đến việc đứa trẻ sinh ra mặc dù cũng thông minh nhưng không thể bằng bố mẹ hay có thể nói chúng chỉ hơn người bình thường đôi chút.
Còn đối với cặp vợ chồng rất thông minh, gene của cả hai đều ở mức "của hiếm". Những gene này may mắn phù hợp với môi trường phát triển nên họ thể hiện ra ngoài rất tốt. Thế nhưng khi gene của cặp vợ chồng này kết hợp lại, việc sao chép các cặp gene thông minh là rất khó. Hơn nữa, gene đó có thể không phù hợp với môi trường sống.
Vì thế, xác suất con cái của cặp đôi này sinh ra thông minh là rất cao, tuy nhiên chúng chỉ thông minh hơn so với những đứa trẻ bình thường. Nhưng khoảng cách trí tuệ giữa chúng và bố mẹ mình lại cách xa nhau.
Tuy vậy, tự nhiên rất kỳ diệu. Những công thức của Galton được sử dụng ở trên chỉ nhằm giải thích thắc mắc của nhiều người, còn thực tế vẫn có thể khác.
Nếu bạn là người thông minh, có thể con cái bạn có trí thông minh thấp hơn bố mẹ, nhưng có khi chúng là ngang hàng thậm chí là hơn.
Vợ chồng Marie Curie đã dành nhiều giải Nobel về vật lý và hóa học. Con gái của họ là Irene Curie cũng tiếp nối con đường cha mẹ và giành được giải Nobel về hóa học nhiều năm sau đó. Thế nhưng cô con gái thứ là Eve Curie lại không có khả năng như thế, bà là một nhà hoạt động xã hội sau này.
Giữa những đứa trẻ cùng bố mẹ, nếu tuân theo khái niệm "Hồi quy về sự trung bình" của Galton thì gene chúng nhận được sẽ tương tự như nhau. Nhưng thường thì chúng sẽ phát triển theo những khuynh hướng khác nhau, giống như Eve Curie và Irene Curie.
Hay như 5 anh em nhà Jackson đều rất giỏi về âm nhạc, nhưng so với em mình là ông vua nhạc Pop thì 4 người anh còn lại đều thua xa Michael Jackson.
Một trong những sai lầm phổ biến nhất mà con người mắc phải là cố tìm ra lời giải thích cho một sự việc vốn là tình cờ. Đó chỉ là sự ngẫu nhiên phối hợp giữa gene và môi trường, chỉ là xác suất mà thôi.
Vì thế đừng bao giờ nghĩ rằng "Khả năng của trẻ phải bằng mức trung bình của cha mẹ", hãy để trẻ phát triển đúng theo bản chất tự nhiên của chúng.