HOME-Au
HOME-Au
24h
24h
USA
USA
GOP
GOP
Phim Bộ
Phim Bộ
Videoauto
VIDEO-Au
Donation
Donation
News Book
News Book
News 50
News 50
worldautoscroll
WORLD-Au
Breaking
Breaking
 

Go Back   VietBF > World > Vietnam News | Tin Việt Nam > 2005-2023 Vietnam News

 
Thread Tools
 
 
  #1  
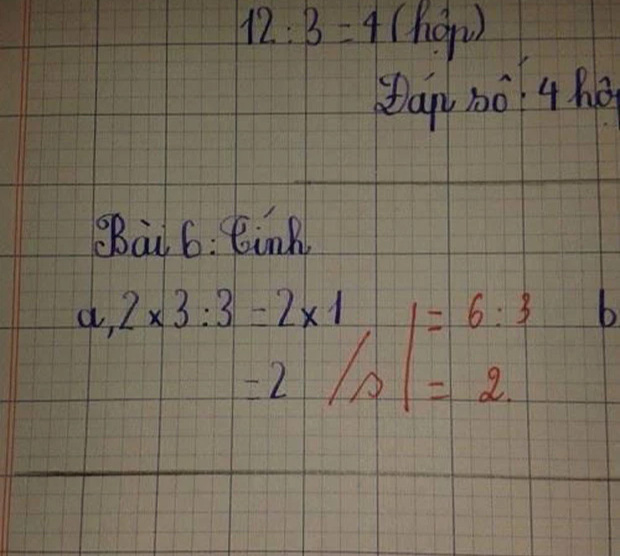
Old  Default Bài Toán Tiểu học: "2 x 3 : 3 =?", dân tình chắc nịch bằng 2 nhưng trật lất, cô giáo đưa ra đáp án không thể cãi được
Môn Toán học là một bộ môn khoa học của những con số, kết quả của các phép tính, bài toán chỉ có đúng hoặc sai. Tuy nhiên, trong rất nhiều trường hợp thì dù có kết quả đúng nhưng vẫn không được chấp nhận vì áp dụng sai các quy tắc, định luật, định lý... của bộ môn này. Bởi môn học này còn đòi hỏi cả khả năng tư duy logic của người học.

Chính vì nhiều lúc chưa hiểu được hết những quy tắc trong toán học nên đã xảy ra những hiểu lầm. Mới đây, một phụ huynh đã đăng tải ảnh chụp bài tập của con mình và bức xúc, kết quả của học sinh và giáo viên đưa ra đều bằng 2, nhưng bài làm của học sinh lại không được công nhận.

Cụ thể, với phép tính 2 x 3 : 3, học sinh thực hiện: 2 x 3 : 3 = 2 x 1 = 2; cô giáo thực hiện 2 x 3 : 3 = 6 : 3 = 2.



Sau khi nhận được lời phản ánh của phụ huynh, cô giáo đã giải thích rằng, học sinh tuy làm ra kết quả đúng nhưng cách làm lại hoàn toàn sai bản chất Toán học. Vì trong một phép tính chỉ có phép tính nhân và chia thì phải thực hiện từ trái qua phải, còn học sinh lại thực hiện phép chia trước (không đi theo thứ tự từ trái qua phải).

Cô giáo cũng đưa ra 3 quy tắc bất di bất dịch khi thực hiện các phép tính cộng, trừ, nhân, chia như sau:

- Đầu tiên, thực hiện bất kỳ phép Toán nào bên trong dấu ngoặc đơn.

- Tiếp theo, thực hiện tất cả các phép nhân và phép chia theo thứ tự từ trái qua phải.

- Cuối cùng, thực hiện tất cả các phép cộng và trừ theo thứ tự từ trái qua phải.

Sau khi nhận về lời giải thích, phụ huynh mới hiểu ra rằng con mình đã mắc lỗi sai cơ bản nên việc không được tính điểm là hoàn toàn đúng.

Đây cũng là kiến thức nền tảng quan trọng đối với các học sinh Tiểu học. Vì vậy, phụ huynh cần kết hợp với giáo viên, kèm cặp thêm cho con em mình tại nhà để có bước phát triển vững chắc hơn.
Dịch trang: EnglishEnglish DeutschDeutsch FrançaisFrançais EspañolEspañol ItalianoItaliano PortuguêsPortuguês
NorskNorsk NederlandsNederlands DanskDansk SuomiSuomi PolskiPolski ČeštinaČeština РусскийРусский
日本語日本語 한국어한국어 中文(简体)中文(简体) 中文(繁體)中文(繁體) MagyarMagyar TürkçeTürkçe
العربيةالعربية ไทยไทย LatinaLatina हिन्दीहिन्दी Bahasa IndonesiaBahasa Indonesia Bahasa MelayuBahasa Melayu
VIETBF Hybrid Community Content Hub

HOT NEWS 24h

HOT 3 Days

NEWS 3 Days

HOT 7 Days

NEWS 7 Days

HOME

Breaking News

VietOversea

World News

Business News

Car News

Computer News

Game News

USA News

Mobile News

Music News

Movies News

History

Thơ Ca

Sport News

Stranger Stories

Comedy Stories

Cooking Chat

Nice Pictures

Fashion

School

Travelling

Funny Videos

Canada Tin Hay

USA Tin Hay

VietBF Homepage Autoscroll

VietBF Video Autoscroll Portal

Video Classic Master

iPad News Portal

VietBF iPad Music Portal

Tin nóng nhất 50h qua

Phim Bộ Online

iMusic Pro Max



nguoiduatinabc
R10 Vô Địch Thiên Hạ
Release: 03-01-2022
Reputation: 22296


Profile:
Join Date: Apr 2016
Posts: 83,949
Last Update: None Rating: None
Attached Thumbnails
Click image for larger version

Name:	edit-photo-1-16461190780441294147169.jpeg
Views:	0
Size:	90.5 KB
ID:	2015391  
nguoiduatinabc_is_offline
Thanks: 168
Thanked 5,483 Times in 4,449 Posts
Mentioned: 4 Post(s)
Tagged: 0 Thread(s)
Quoted: 29 Post(s)
Rep Power: 95
nguoiduatinabc Reputation Uy Tín Level 7nguoiduatinabc Reputation Uy Tín Level 7
nguoiduatinabc Reputation Uy Tín Level 7nguoiduatinabc Reputation Uy Tín Level 7nguoiduatinabc Reputation Uy Tín Level 7nguoiduatinabc Reputation Uy Tín Level 7nguoiduatinabc Reputation Uy Tín Level 7nguoiduatinabc Reputation Uy Tín Level 7nguoiduatinabc Reputation Uy Tín Level 7nguoiduatinabc Reputation Uy Tín Level 7nguoiduatinabc Reputation Uy Tín Level 7nguoiduatinabc Reputation Uy Tín Level 7nguoiduatinabc Reputation Uy Tín Level 7nguoiduatinabc Reputation Uy Tín Level 7nguoiduatinabc Reputation Uy Tín Level 7
Dịch trang: EnglishEnglish DeutschDeutsch FrançaisFrançais EspañolEspañol ItalianoItaliano PortuguêsPortuguês
NorskNorsk NederlandsNederlands DanskDansk SuomiSuomi PolskiPolski ČeštinaČeština РусскийРусский
日本語日本語 한국어한국어 中文(简体)中文(简体) 中文(繁體)中文(繁體) MagyarMagyar TürkçeTürkçe
العربيةالعربية ไทยไทย LatinaLatina हिन्दीहिन्दी Bahasa IndonesiaBahasa Indonesia Bahasa MelayuBahasa Melayu
 
User Tag List



 

iPad Videos Portal Autoscroll

VietBF Music Portal Autoscroll

iPad News Portal Autoscroll

VietBF Homepage Autoscroll

VietBF Video Autoscroll Portal

USA News Autoscroll Portall

VietBF WORLD Autoscroll Portal

Video Classic Master Page

Super Widescreen

iPad World Portal Autoscroll

iPad USA Portal Autoscroll

Phim Bộ Online
Lên đầu Xuống dưới Lên 3000px Xuống 3000px

Tin nóng nhất 24h qua

Tin nóng nhất 3 ngày qua

Tin nóng nhất 7 ngày qua

Tin nóng nhất 30 ngày qua

Albums

Total Videos Online

Tranh luận sôi nổi nhất 7 ngày qua

Tranh luận sôi nổi nhất 14 ngày qua

Tranh luận sôi nổi nhất 30 ngày qua

10.000 Tin mới nhất

Tin tức Hoa Kỳ

Tin tức Công nghệ
Lên đầu Xuống dưới Lên 3000px Xuống 3000px

Duo Series Movies Portal

Duo Music Portal

Phim Bộ

Tỷ Giá

Thời Tiết

Tin Nóng Nhất 50h

Super News

School Cooking Traveling Portal

Enter Portal

Series Shows and Movies Online

Home Classic Master Page

Donation Ủng hộ $3 cho VietBF
Lên đầu Xuống dưới Lên 3000px Xuống 3000px
Diễn Đàn Người Việt Hải Ngoại. Tự do ngôn luận, an toàn và uy tín. Vì một tương lai tươi đẹp cho các thế hệ Việt Nam hãy ghé thăm chúng tôi, hãy tâm sự với chúng tôi mỗi ngày, mỗi giờ và mỗi giây phút có thể. VietBF.Com Xin cám ơn các bạn, chúc tất cả các bạn vui vẻ và gặp nhiều may mắn.
Welcome to Vietnamese American Community, Vietnamese European, Canadian, Australian Forum, Vietnamese Overseas Forum. Freedom of speech, safety and prestige. For a beautiful future for Vietnamese generations, please visit us, talk to us every day, every hour and every moment possible. VietBF.Com Thank you all and good luck.

Lên đầu Xuống dưới Lên 3000px Xuống 3000px

All times are GMT. The time now is 15:42.
VietBF - Vietnamese Best Forum Copyright ©2005 - 2026
User Alert System provided by Advanced User Tagging (Pro) - vBulletin Mods & Addons Copyright © 2026 DragonByte Technologies Ltd.
Log Out Unregistered

Page generated in 0.09627 seconds with 13 queries